Bahasa

+86-18857986217

Berhubung

img

No. 892, Changhong East Street, Fuxi Street, Deqing County, Huzhou City, Wilayah Zhejiang, China

Nantong Lyusen Perlindungan Alam Sekitar Pembersihan Bahan Co., Ltd.

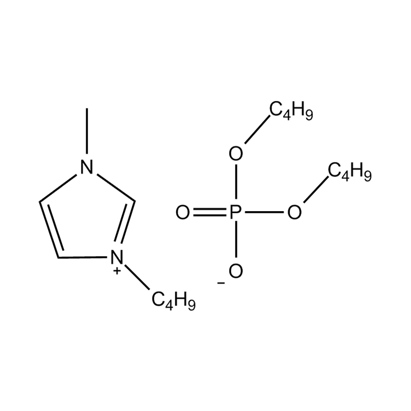
1-butil-3-methylimidazolium dibutyl fosfat Pembekal Cecair

Udara bersih, hak asasi manusia

Rumah / Produk / Cecair ionik / Cecair ionik yang disesuaikan / 1-butil-3-methylimidazolium dibutyl fosfat
01Parameter 02Sesuaikan
Formula molekul C 16 H 33 N 2 O 4 P
Berat molekul 348.42
CAS No. 663199-28-8
Kesucian 98%

Mengenai Lande
Zhejiang Lande Energy Technology Development Co., Ltd.
Zhejiang Lande Energy Technology Development Co., Ltd. (LETD) adalah perusahaan pengeluaran cecair ionik yang ditubuhkan pada tahun 2009, beribu pejabat di No. 892 Changhong East Street, Zon Pembangunan Ekonomi Deqing County, Wilayah Zhejiang. Modal berdaftar syarikat itu ialah 36.9 juta yuan, dan jumlah asetnya adalah 220 juta yuan.
Teknologi LDET memberi tumpuan kepada penyelidikan, pembangunan, pengeluaran, dan jualan cecair ionik dan bahan tambahan produk elektronik yang fleksibel, terutamanya digunakan dalam bidang seperti petroleum dan industri kimia arang batu, bateri litium, pemuliharaan tenaga dan perlindungan alam sekitar, industri nuklear, farmaseutikal hijau, pembubaran serat biologi, filem optik, dan produk kimia harian. Produk syarikat mempunyai aplikasi yang stabil dalam bidang pemangkinan dan memperluaskan aplikasi perindustrian mereka di kawasan-kawasan seperti pengekstrakan minyak putih, elektrolit pepejal/pepejal, elektrolit elektrolytic. Ia adalah perusahaan berteknologi tinggi kebangsaan dan salah satu perusahaan yang ditanam utama dalam Rancangan Phoenix di wilayah Zhejiang.
Sijil Kehormatan
  • honor
  • honor
  • honor
  • honor
  • honor
  • honor
  • honor
  • honor
Berita
Maklum balas mesej